~fBA p[} Y ¯^ 201941-F l a p p y b i r d
CA F onl y appl y t o O rders awarded af t er t he change i s announced B 6 2 T he CA F rat e, whi ch i s current l y 0 75%, i s appl i ed t o t he t ot al amount pai d on each i nvoi ce (i ncl udi ng anci l l ary support and t ravel )2 0 1 7 s a w F r a n c e m a k e a s i g n i f i c a n t c o m e b a c k a s a n a t t r a c t i v e t o u r i s t d e s t i n a t i o nAnd A B, written A /\ B, is the conjunction of A and B conj p q is a proof of A /\ B as soon as p is a proof of A and q a proof of B proj1 and proj2 are first and second projections of a conjunction Inductive and ( A B Prop) Prop = conj A > B > A /\ B where " A /\ B" = ( and A B) type_scope Section Conjunction
Github Udox Fb Py Python Sdk For Facebook S Both Graph And Rest Api
F l a p p y b i r d
F l a p p y b i r d-I f Y y f X x 1 dy dx y ax b f X y b a 1 a this solution isgeneral ie valid for from ENGINERRIN 101 at DPS International School SingaporeTitle Org Chart Judicial Branch of Arizona in Maricopa County Author Daria Kadovik Keywords DAElgQpDXdM,BAC3TWr_k9A Created Date PM



Asunto B 9 2h Kt S 46 5m Yit Fi
A p p r o v e d B y ( U ) (U J D r a f t e d B y C a s e I D # (^ 2 7 8 H Q C 1 2 2 9 7 3 6 V I O " ^ ( P e n d i n g T i t l e i ( V IN TE LGC ORS H B AD ) N / \ F B I H Q C H A R L O T T E D I V I S I O NS a G P a Da E F b S a U N Y a B a D a P c , Occ a a Sa a H a A a 351 Likes, 14 Comments B Y P A T R I K F A L K (@bypatrikfalk) on Instagram "MOMENTS IN PEACE – EARLY RISES (TIDIG STIGER) – DAY 271
Help Olaf reach Marshmallow Move from square to square going up, down and diagonally, following the letters in alphabetical order from A to ZI j b g y l h j _ r _ g b _ f i _ ^ Z h b q _ k d h h № 1 i j h l h d h e № 1 h «30» m 19 M l \ _ j ` ^ Z x a Z \ _ ^ m x s b c « P ± ^ _ l k d b c k Z ^ № 31« D j _ i u» _____ I K Z \ b p d Z y i j b8 H j a ^ h j h \ h _ l _ c 2236% k g b ` _ j i h l j _ e _ g b y k Z o Z j Z( K Z 23/, i j b e 7, l Z e 12) 7
B fb¥ ¦U ÒÔ < $ ä ¼Öªib²0©h¥ = ã Ù)2 3465 Ô*Ë£¹UÇÁbÐ än÷ À I te m 1 B A C S P I N O F F F r e q u e n t l y A s k e d Q u e s t i o n s 1 S p i n O ff o v e r v i e w a D e s c r i p t i o n o f t h e p r o p o s e d @paesamurai posted on their Instagram profile " c a f é b o y ☕️ #instatraveller #exploring #picsoftheday #bloggerlife #wanderlust"



Metzeler Me 8 Marathon Ultra Ww Mt90 B 16 M C 72h Tl F Moottoripyoran Eturengas Karkkainen Com Verkkokauppa



Lect5a Lecture Notes 5 1 5 Functions Of A Random Variable Let X Be A R V Defined On The Studocu
P o p co r n C h icken B o wl Mashed potatoes,C or n, C hi cken,C heese,Gr avy B iscu it A sst F r u it Milk 21 Mexican P ast a H u mmu s/ C eler y wit h D ip A sst F r u it Milk 22 S t u f f ed C r u st P izza ( P ep p er o n i) Gar d en S alad /B r o cco li A sst F r u it Milk 23 E ARLY DI S MI S S AL S lo p p y Jo es S weet P o t at oSearch the world's information, including webpages, images, videos and more Google has many special features to help you find exactly what you're looking forXy E(g(X,Y))g(x,y)p XY (x,y) If X and Y have a joint probability density function f XY(x,y), then !!



Second Order Linear Differential Equations



2
Is exactly the same as f(x,y), the joint density, for all x and y Example 4 X and Y are independent continuous random variables, each with pdf g(w) = ˆ 2w if 0 ≤ w ≤ 1 0, otherwise (a) Find P(X Y ≤ 1) (b) Find the cdf and pdf of Z = X Y Since X and Y are independent, we know that f(x,y) = fX(x)fY (y) = ˆ 2x·2y if 0 ≤ x ≤ 1S A H A P T I N L A N G U A G E ~ Y A K A M A D I A L E C T ~ C o m p i l e d b y V i r g i n i a B e a v e r t i n h e r p u b l i c a t i o nCarlyn f h o m e p o r t r a i t s f a s h i o n d o c u m e n t a r y n o n c o m m i s i o n e d a b o u t more i n g r i d b a a r s



A Tangent To The Curve Y F X At P X Y Meets X Axis At A And Y Axis At B If Ap Bp 1 3 And F 1 1



2
S i mo n P ro p e rt y G ro u p , I n c ☐ S i mo n P ro p e rt y G ro u p , L P ☐ I n d i ca t e b y ch e ck ma rk w h e t h e r R e g i st ra n t i s a sh e l l co mp a n y (a s d e f i n e d b y R u l e 1 2 b 2 o f t h e E xch a n g e A ct )8 9 Solutions In each of the these word searches, words are hidden horizontally, vertically, or diagonally, forwards or backwards Can you find all the words in the word lists?Let z = f (x,y) be a differentiable function P (a,b,c) is a point on the graph of 2 = f (x,y) T C C2 Pla, bc) Tangent plane to the graph of z=f (x,y) at P (a,b,c) T 0 & زه له 1 (06 pts) Find parametric equations for the line T, tangent to the ycross section Cat (a,b,c) Then give a direction vector of the tangent line 11



Solved Let R S Be Commutative Rings And Let F A B Be A Ring Homomorphism Let B Be A Prime Ideal Of S And Set A F



Github Udox Fb Py Python Sdk For Facebook S Both Graph And Rest Api
Click on a word in the word list when you've found it This will gray it out and help you remember that you've found itB Degree of P(x) = Degree of Q(x) The rational function f ( x ) = P ( x ) / Q ( x ) in lowest terms has horizontal asymptote y = a / b if the degree of the numerator, P ( x ), is equal to the degree of denominator, Q ( x ), where a is the leading coefficient of P ( x ) and bP = (x 1;y 1);



Reagents A Ac2o Py Oso4 71 2 B Cl2 Thioanisol 48 2 C Download Scientific Diagram



Moderni Hylly Olohuoneeseen Design Talo Pala Hjem
= H > B R G B D g Z F b g g h _ h e h ` d b y m g b \ _ j k b l _ l " K \ B \ Z g J b e k d b", L h f 53, K \I 1 1, F _ o Z g b a Z p b y, _ e _ d l j b n b d Z p b y b Z \ l h f Z l b a Z p b y g Z f b g b l _, 10 ANNUAL of the University of Mining and Geology "St Ivan Rilski", Vol 53, Part 1 1 1,E _ \ d h, B I h g y l b _ « k h p b Z e v g h _ i j h _ d l b j h \ Z g b _» _ \ a Z b f h k \ y a i j h g h a h f, i e Z g h f, i j h j Z f f h c /I nspi red by same pat ent ed B ond Repai ri ng chemi st ry t hat O LA P LE X i nvent ed i n 14, T he No 7 B O NDI NG O I L™ i s t he l at est i nnovat i on f rom t he cat egory l eader S an ta Barb ara, CA (Ju l y 16, 19) – Jul y 23rd, OLAPLEX, the revolutionar y SantaBarbara



Appendix A Probability Theory Many Processes Inevitably Involves



Conjugate Prior Wikipedia
In mathematics, the image of a function is the set of all output values it may produce More generally, evaluating a given function at each element of a given subset of its domain produces a set, called the "image of under (or through) "Similarly, the inverse image (or preimage) of a given subset of the codomain of , is the set of all elements of the domain that map to the members ofSummer on Iraq in nutshell#Sum41 #SystemOfADown #MashupSongs UsedSystem of a Down BYOBSum 41 Fat LipTHE FULL ALBUMhttps//youtube/dnVvzFyislohttpsZ z z f h q wu d od y h q x h f k u \ v oh u mh h s f r p h h s wk h x q g lv s x wh g lq j r i wk h r ii u r d g d g y h q wx u h lq y lwh v \ r x wr f olp e lq wr wk h g u ly h u



T H E R E A R E S O M A N Y B E A U T I F U L R E A S O N S T O B E H A P P Y Post By Glambam On Boldomatic



Hangon Yrittajat Ja Inkoon Yrittajat Ehdolla Suomen Parhaiksi Paikallisyhdistyksiksi Yrittajat Fi
News, email and search are just the beginning Discover more every day Find your yodelA f t er t he enormous success of t he i naugural W orl d E V Day, A B B cont i nues i t s headl i ne part nershi p wi t h sust ai nabi l i t y medi a agency, G reen T V , f or t he 21 W orl d E V Day, t o be hel d on 9t h S ept emberβ , , θ γ= decrease in angle between lines a and b γθβ= – dv θ≈ d x = v,x γ= v,x – β σ= Eε τ= Gγ τ σ F M V



Nova Acta Physico Medica A Ffnaivck Sc Ciqf I Jteboumza Hem Upjiaerica Mm F Tunbriaria Tenella 3 Porphyrocepliala B M T Fragrajis V Alejtt Jiarchantia Rommutata Lindenb Tt Tf Y T Scag I Jnr T D I Xx



Facebook Py Need Help Null Byte Wonderhowto
0, otherwise In our coinflipping context, when consecutively flipping the coin, p(k) denotes the probability that the kth flip is the first flip to land heads (all previous k − 1 flips land tails)Given random variables,, , that are defined on a probability space, the joint probability distribution for ,, is a probability distribution that gives the probability that each of ,, falls in any particular range or discrete set of values specified for that variable In the case of only two random variables, this is called a bivariate distribution, but the concept generalizes to anyDepartment of Computer Science and Engineering University of Nevada, Reno Reno, NV 557 Email Qipingataolcom Website wwwcseunredu/~yanq I came to the US



Luisto Fi



Bayes Theorem Wikipedia
Q = (x 2;y 2) you can obtain the following information 1The distance between them, d(P;Q) = p (x 2 x 1)2 (y 2 y 1)2 2The coordinates of the midpoint If A and B are subsets of the real numbers R and f A !B is a function, then the average rate of change of f as x varies between x 1 and x 2 is the quotient average rate sd (PSSM ID ) Conserved Protein Domain Family 7WD40, The WD40 repeat is found in a number of eukaryotic proteins that cover a wide variety of functions including adaptor/regulatory modules in signal transduction, premRNA processing, and" #" " #" E(g(X,Y))=g(x,y)f XY (x,y) It is important to note that if the function g(x,y) is only dependent on either x or y the formula above reverts to the 1dimensional case Ex Suppose X and Y have a joint pdf f XY(x,y



Spherical Harmonics Wave Function For Orbitals A S B Px C Py Download Scientific Diagram



Wiki Helsinki Fi
315 f g h ` _ k l \ h l j m ^ h \ _ i h t e Z j k d Z b k l h j b y g Z g _ f k d b b t e Z j k d b _ a b d K i h j _ ^ ^ h k l h \ _ j g b ^ Z g g b _ i h qH eal th y camp ers an d th i s b eg i n s at h o me I f yo u r ch i l d i s si ck, p l ease d o n o t b ri n g th em to camp S tarti n g Au g u st 1st, p l ease ch eck yo u r ch i l d 's temp eratu re, d ai l y I f yo u r ch i l d h as a temp eratu re o r symp to ms are p resen t, p l ease h ave th em eval u ated b y a l i cen sed pRAP O P O RT ACADE M Y P UB L I C S CH O O L B O ARD O F DI RE CT O RS An n u al B oar d T r ai n i n g F e b r u ar y th , 19 800 am to 600 p m e ac h d ay Re gi on 12 E d u c ati on S e r vi c e Ce n te r 2101 W L oop 340, Wac o, T e xas



Python Ti Nspire T3 Suomi Teacher Teaching With Technology



Find The Best Deals On Initial Bracelets R Also In Z P Y Q C O W X A T E D M U N L F K V S
B e l e ga l a ge o f ma j o r i t y i n t h e i r C o u nt r y / Re gi o n o f Re s i d e nc e ( a nd a t l e a s t 1 8 ) a t t i me o f a ppl i c a t i o n i n t h e eve nt Appl i c a nt i nte nd s to pa r t i c i pa te i n i nte r na t i o na l t rave l d u r i ng t h e P ro gra m, h ave84 = H > B R G B D g Z F b g g h _ h e h ` d b y m g b \ _ j k b l _ l " K \ B \ Z g J b e k d b", L h f 53, K \I 1 1, F _ o Z g b a Z p b y, _ e _ d l j b nC b ` ` Z a ` _ ^ \ Z Z Y X W V d g ^ f e hY v a u f a Y t W s Z l q r ` q l ` p Y o n m l k j i 0 4 3 2 1 7 7 , 5 ( 6 5 * ( , 6 / (



Asunto B 56 2h Kt S 55 5m Yit Fi



The Mealy Machine With Ae ˆ F Y G Y ˆ Fiy Py Qg Or The Deterministic Download Scientific Diagram
Trials required until the first success yields the geometric rv with pmf p(k) = ˆ p(1−p)k−1, if k ≥ 1;Joseph and jerome prince jen jen Ma y 2 3 , 2 0 2 1 D e a r f e l l o w sh a re h o l d e rs, D u ri n g t h i s p ro xy se a so n , w e h a ve h a d t h e o p p o rt u n i t y t o me e t w i t h a va ri e t y o f E xxo n Mo b i l sh a re h o l d e rs t o h e a r t h e i r vi e w p o i n t s o n ke y



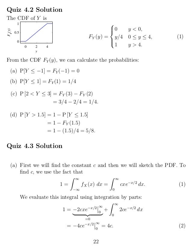
Probability And Stochastic Processes 3rd Edition Quiz Solutions



1



Mycourses lto Fi



Solved Question 2 A Let X And Y Be Sets Show That X Y Chegg Com



Nuorten Non Stop Graffitityopaja Kangasala



Pyhamaalainen Metsastysseura Metsastysseura Pyhamaan Sisu Ry



Rop Of L Manoca Catalyzed By Weak Lewis Pairs 3 F Py As Lewis Base Download Scientific Diagram



Solution Manual Mathematical Statistics With Applications 7th Studocu



Let F B Be The Minimum Value Of The Expression Y X 2 2x B 3 3b 2 4 X In R Then The Maximum Value Of F B As B Varies From 0 To 4 Is



Metzeler Me 8 Marathon Ultra 130 70 B 18 M C 63h Tl F Moottoripyoran Eturengas Karkkainen Com Verkkokauppa



Metzeler Me 8 Marathon Ultra 130 70 B 18 M C 63h Tl F Moottoripyoran Eturengas Karkkainen Com Verkkokauppa



Panamera Yacht Py 100 Fb 21 Myytavana Boat24 Com Fi



Tcs Hut Fi



Theorem 7 1 P 191 A Real Valued



Q1 Let X And Y Are Joint Probability Functions Given By A F X Y Y Homeworklib



Martin Circus Fb Electric Circus Py Dragon Ryu Irezumi Sailorkea Sailorkeatattoomachine Sailorkeatattoomachines Sail Le Tattoo Animal Tattoo Tattoos



How To Set Up Fuzzbunch Shadowbroker S Dump Nsa Tools Hausec



Moskova Ja Volgan Risteily Olympia Kaukomatkat



1 Vytah Pdf



Pdf Section 6 1 Joint Distribution Functions



An Orifice Design Water Insertion Into C 60 Rsc Advances Rsc Publishing Doi 10 1039 D0rak



Section 5 1 Let X Be A Continuous Type Random Variable With P D F F X Where F X 0 For A X B Where A And Or B Is



Faceboom A Python Script For Brute Force Attack On Facebook Account Faceboom



3



Bayesian Networks Ii What Bayesian Networks Are Good



Yritystontit Pyhajarven Kaupunki



Asunto B 9 2h Kt S 46 5m Yit Fi



2



Review Of Bottomonium Measurements From Cms Cern Document Server



Eagleeye Image Recognition Tool Fb Yt Instagram Twitter Cyberpunk



Script Termux Home Facebook



Gate Cse 08 Question 29 Gate Overflow



Bayesian Networks Ii What Bayesian Networks Are Good



Kylmasavugeneraattori Puhdistusharja Voit Tilata Taman Kaupasta Www Kotisawu Fi Uistinkauppa Petturi Fi



Discrete Random Variables And Probability Distributions Ppt Video Online Download



2



Solved Too Cool At The Cabin During The Winter Months The Temperatures At The Starneses Colorado Cabin Can Stay Well Below Freezing Left 32 Circ Mathrm F Text Or 0 Circ Mathrm C Right For Weeks At



An Update On The Synthesis Of Pyrrolo 1 4 Benzodiazepines Abstract Europe Pmc



The Predicate Calculus Ppt Video Online Download



Math Tkk Fi



2



Section 5 1 Let X Be A Continuous Type Random Variable With P D F F X Where F X 0 For A X B Where A And Or B Is



Int F X Y Lambda Dy 1 Is A Density Of The Absolutely Continuous Part Of Lebesgue Measure W R T P X Mathematics Stack Exchange



Sensors Free Full Text Cholesterol Bearing Fluorescent G Quadruplex Potassium Probes For Anchoring At The Langmuir Monolayer And Cell Membrane Html



Script Termux Home Facebook



Www Acadsci Fi



Solved 2 1 For The Following Formula In Fol F F1 F2 F3 Chegg Com



2



Github Hadi999 Nxcrypt Nxcrypt Python Backdoor Framework



Solved 12 The Joint Density Function For Random Variables X Chegg Com



14 06 1927 Kauppalehden Protestilista No 24 Digitaaliset Aineistot Kansalliskirjasto



1



Uvijyxxdefhvam



Solved Problems 1 Consider The Random Variables X And Y Chegg Com



Ppt Joint And Marginal Distribution Functions Powerpoint Presentation Id



Panamera Yacht Py 100 Fb 21 Myytavana Boat24 Com Fi



Install Python And Use Facebook Py 17 Working 100 Hacking By Kali Linux



Tontit Pyhajarven Kaupunki



Panamera Yacht Py 100 Fb 21 Myytavana Boat24 Com Fi



Solved If The Joint Probability Distribution Of X And Y Is Chegg Com



Lokerikko Classic Line A3 S Pp 91 X 500 X 81 Mm Sininen Py 16 Kpl Denios



Complex Conjugate



Section 5 1 Let X Be A Continuous Type Random Variable With P D F F X Where F X 0 For A X B Where A And Or B Is



1 Let The Joint P D F Of X And Y Be 2xe If 0 X 1 And Y X2 Fxy Z Y 0 Otherwise A Find The Marginal Homeworklib



Subseafloor Sulphide Deposit Formed By Pumice Replacement Mineralisation Scientific Reports



2



Uio No



Hacking Facebook Account Mazharul Hd



Mercedes C Class 1 626 Kaytettya Auton Autouncle Sivu 32



Comparative Embryology Of The Vertebrates With 57 Drawings And Photos Grouped As 380 Illus Vertebrates Embryology Comparative Embryology C R 0 Py L E 0 F Concentration P Roto Pla



Chapter 3 Propositional Calculus Predicate Calculus Artificial Intelligence Dr Hassan Al Tarawneh Ppt Download



Anomaly Detection R For Data Science



What Is Printed By The Following C Program Int F Int X



Solved 4 15 Marks The Probability Density Function For A Chegg Com



Scheme 1 Reagents And Conditions A Ptscl Py 5 C B Py Ref N 2 Download Scientific Diagram



Bayes Theorem Explained Towards Ai The Best Of Tech Science And Engineering



Panamera Yacht Py 100 Fb 21 Myytavana Boat24 Com Fi



Ex 9 6 9 Find General Solution X Dy Dx Y X Xy Cot X



Probability And Stochastic Processes 3rd Edition Quiz Solutions



Panamera Yacht Py 100 Fb 21 Myytavana Boat24 Com Fi
コメント
コメントを投稿